Naloga zahteva izdelati program za izračun napetosti v krenu zoba po metodi B iz standarda
ISO 6336/3 z uporabo programskega jezika Java Script.
Program mora omogočati vnos parametrov, ki nam podajo določene lastnosti zobnika in ozobja.
Zobje zobnika morajo prenašati različne obremenitve, ki nastanejo zaradi prenosa vrtilnega
momenta. Da lahko prenašajo obremenitev, morajo imeti ustrezno trdnost. Zaradi obremenitve
lahko pride do loma ali delnega loma zob, lahko pa tudi do poškodbe površine bokov zob. tako ločimo:
- korensko trdnost zob, ki upošteva napetost v korenu in njeno odpornost proti lomu;
- bočno trdnost zob, ki upoštevatrdnost površine boččnic zob in njeno odpornost proti
površinskim poškodbam.
Program bo omogočal izračun korenske napetosti.
Gear teeth must support different loads that originate from torque transfer. Gear
teeth must be of appropriate strength in order to support loads. Breakage or partial
breakage of teeth may occur because of the load, furthermore, tooth-surface damage is
also possible.
Two types of strength are present at toothed wheels:
- root strength that depends on the tension in the root and its resistance to breakage;
- tooth-surface strength that depends on the strength of the tooth-surface and its
resistance to superficial damage.
The programme will execute calculations of root-strength.
Vrtilni moment v zobniškem gonilu se prenaša prek zobov na zobniku. V uprijemu zobnega para pri prenosu vrtilnega momenta se pojavi tangencialna sila , ki deluje na zob. Zaradi te sile nastanejo v korenu zoba sočasno upogibne, tlačne in strižne napetosti. Najbolj neugoden prerez v korenu zoba je v bljižini prehoda ravnega dela boka zoba v krivino. Na tem mestu pride do povečane koncentracije napetosti. Da preprečimo nenavadne poškodbe je potrebno preračunati zobnik na osnovi standarda ISO 6336/3. Metoda B iz navedenega standarda po kateri je zgrajen program je namenjen za kontroliranje zobnikov, ki so že izdelani in lahko določene parametre, ki jih potrebujemo za izračun izmerimo.
The torque in the gear box is transferred across teeth of the toothed wheel. At torque transfer a tangential load appears in the pair tooth-contact and acts upon the tooth. Because of this load, bending stress, pressure stress and cutting stress appear in the tooth root. The most unfavourable section in the tooth-root is where straight part of the tooth-surface starts bending. This is an area of exceeding stress concentration. To prevent unusual damage the parameters for toothed wheels should be calculated on the basis of ISO 6336/3 standard. The B method from the previously mentioned standard, which is also used for the programme, applies to controlling toothed wheels that were already produced so that some of the parameters needed for calculations can be measured empirically.
| sF | Napetost v korenu zoba | tooth-root stress |
| Ft | Tangencialna sila | nominal tangential load |
| b | širina zoba | facewidth |
| mn | normalni modul | normal module |
| YF | oblikovni faktor | form factor |
| YS | korekcijski koeficient napetossti | stress correction factor |
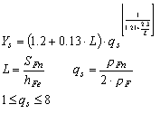
| Yb | faktor poševnosti | helix factor |
| KA | koeficient obratovanja | application factor |
| KV | dinamični koeficient | dynamic factor |
| KFb | korenski koeficient porazdelitve sile po širini zoba | face load factor for tooth-root stress |
| KFa | korenski koeficient porazdelitve sile v profilni ravnini | transverse load factor for tooth-root stress |
Pri izračunu napetosti v korenu zoba lahko izhajamo iz najbolj neugodne predpostavke, da samo en
par zob prenaša celotno obremenitev in da deluje obremenitev na temenu zoba. Pri izračunu je
potrebno upoštevati še druge faktorje, ki popisujejo neugodne upljive.


Za izračun tega faktorja ločimo ali gre za zunanje ali notranje ozobje. Na podlagi tega dobimo različne podatke.

Koncentracije napetosti so pri majhnih polmerih zaokrožitve korena rF znatne. Koncentracije napetosti nastanejo v korenu tudi, če je brušenje zobnega boka v zaokrožitvi prekinjeno, če pri obdelavi nastane stopnička, če je površinska termična obdelava v območju zaokrožitve prekinjena, če ...

eb ... bočna stopnja profilnega ubiranja
Nosilnost korena zoba je odvisna tudi od nagibnega kota in profilnega ubiranja. Pir nagibnem kotu
b>30° in profilnem ubiranju eb
>1 je Yb=0.75
Koeficient obratovnaja KA zajema zunanje dodatne dinamične sile, ki delujejo na gonilo in zobnike. Te zunanje dodatne dinamične sile se pojavijo zaradi sunkovitosti obremenitve, ki so posledica neenakomernega odvzema moči delavnega stroja.
Na ozobje delujejo še dodatne notranje dinamične sile, ki so odvisne od togosti zob in gredi, odstopkov ozobja, obodne hitrosti, vrtilnih mas gonila in od statične obremenitve. Te dodatne notranje dinamične sile zajema dinamični faktor.
Zaradi odstopanja, ki se lahko pojavi iz različnih vzrokov, kot so slaba obdelava, tolerance, elastične deformacije ohišja, teles zobnikov in gredi, prihaja do ne idealnega naleganja in do neenakomerne porazdelitve sile vzdolž dotikalnice. Neenakomerna porazdelitev obremenitve po širini zoba povzroča poveččanje napetosti na mestu, kjer je obremenitev največja, kar upošteva koeficient KFb. KFb je vedno večji od 1 (KFb>1).
Zaradi odstopkov, predvsem odstopkov osnovnega razdelka zobnih profilov in elastičnih deformacij zob pod obremenitvijo, zobje ne ubirajo tako, kakor bi teoretično pričakovali. Neenakomerno razdelitev obremenitve na ubirajoče zobne dvojice upoštevamo s korenskim koeficientom porazdelitve sile na zobe KFa in je vedno večji od 1 (KFa>1).
function calc_SFn_mn(zn,theta,G,rofP,hfP2,alfan,Spr,mn,radio)
//Bending monent arm:
function calc_hFe_mn(gamae,alfaFen,den,mn,zn,theta,rofP,G,dfn2,alfan,hfP2,radio)//Tooth-root normal chord:
{
var r=zn*Math.sin(Math.PI/3-theta)+Math.pow(3,0.5)*(G/Math.cos(theta)-rofP/mn);
return r;
}
{
var r=0.5*((Math.cos(gamae*Math.PI/180)-Math.sin(gamae*Math.PI/180)*
*Math.tan(alfaFen*Math.PI/180))*den/mn-zn*Math.cos(Math.PI/3-theta)-
-G/Math.cos(theta)+rofP/mn);
return r;
}
V program vnošamo podatke v vnosna polja. Pri vnosu nekaterih podatkov je zraven vnosnega polja ikona, ki pokaže tabelo oziroma graf iz katerega lahko odčitamo določene ali željene vrednosti.
| Zagon programa |
Program omogoča preračun korenske trdnosti zonika. Preračunavamo lahko le zunanje ozobje, ker je izračun po standardu ISO 6336/3 Page 15 nerazumljivo popisa,n in če računamo po navedenem postopku, dobimo nesmiselne rezultate.
Mitja Lunder